Assessment of drug induced hyperuricemia and gout risk using the FDA adverse event reporting system - Scientific Reports
Gout and Medications: Understanding the Risks and Finding Relief
Gout, a painful form of inflammatory arthritis, is becoming increasingly common worldwide. While factors like diet and genetics play a significant role, certain medications can also contribute to its development or worsen existing symptoms. This article explores the connection between medications and gout, offering insights and practical advice for managing your risk.
What is Gout and Hyperuricemia?
Gout is caused by hyperuricemia, a condition where there is too much uric acid in the blood. Uric acid is a natural byproduct of the breakdown of purines, substances found in many foods and also produced by the body. When uric acid levels are too high, it can form sharp crystals in the joints, leading to sudden and severe attacks of pain, swelling, redness, and tenderness, most often in the big toe.
The Link Between Medications and Gout
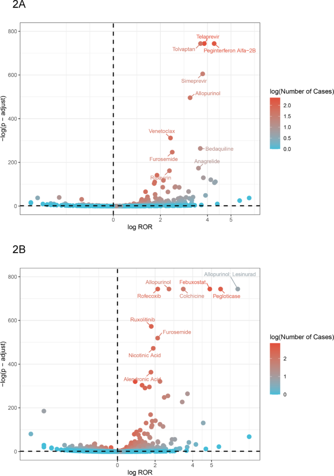
While not all people with hyperuricemia develop gout, it's a crucial risk factor. Certain medications can elevate uric acid levels, increasing the likelihood of a gout flare-up. A recent study using the FDA's adverse event reporting system identified a number of medications associated with hyperuricemia and gout.
The study analyzed over 18,000 reports of hyperuricemia and gout. It revealed that certain drugs were more frequently implicated than others. For example, telaprevir, an antiviral medication, was strongly linked to hyperuricemia, while lenalidomide, a drug used to treat certain cancers, was frequently associated with gout reports. The research also confirmed that older age and male sex are independent risk factors for drug-induced hyperuricemia and gout, as men are generally more prone to higher uric acid levels than women, and uric acid levels tend to rise with age in both sexes.
Common Medications That Can Raise Uric Acid
Several commonly prescribed medications can potentially raise uric acid levels and increase the risk of gout. These include:
- Diuretics (Water Pills): Often used to treat high blood pressure and heart failure, certain diuretics like furosemide (Lasix) can reduce uric acid excretion.
- Aspirin (Low-Dose): While higher doses of aspirin can actually help excrete uric acid, low doses, often taken for heart health, can have the opposite effect.
- Niacin (Vitamin B3): Sometimes prescribed to lower cholesterol, niacin can increase uric acid levels.
- Cyclosporine: An immunosuppressant drug used to prevent organ rejection after transplants, cyclosporine can impair kidney function and increase uric acid.
- Certain Chemotherapy Drugs: Some medications used in cancer treatment can lead to cell breakdown, releasing purines and increasing uric acid production.
- Pegloticase, Febuxostat and Allopurinol: Paradoxically, medications used to TREAT gout, such as pegloticase, febuxostat and allopurinol can initially trigger a flare up of gout if not carefully managed.
Managing Your Risk: Practical Tips
If you are taking any of the medications listed above, or have a history of gout or hyperuricemia, consider these strategies to minimize your risk:
- Talk to Your Doctor: Discuss your concerns with your physician. They can assess your individual risk factors, monitor your uric acid levels, and potentially adjust your medication regimen if necessary. Never stop taking a prescribed medication without consulting your doctor.
- Stay Hydrated: Drinking plenty of water helps your kidneys flush out uric acid. Aim for at least eight glasses of water a day.
- Limit Purine-Rich Foods: Reduce your intake of foods high in purines, such as red meat, organ meats (liver, kidney), shellfish, and sugary drinks.
- Moderate Alcohol Consumption: Alcohol, especially beer, can increase uric acid production and decrease its excretion.
- Maintain a Healthy Weight: Obesity is associated with higher uric acid levels. Losing weight, if you are overweight, can help lower your risk.
- Consider Cherry Extract or Tart Cherry Juice: Some studies suggest that cherries and cherry products may help lower uric acid levels and reduce the frequency of gout attacks.
- Monitor Your Uric Acid Levels: If you have risk factors for gout, ask your doctor about regular uric acid testing. Keeping track of your levels can help you and your doctor make informed decisions about your treatment.
Take Control of Your Gout with AI Technology
Managing gout doesn't have to be complicated. GoutSnap AI is a revolutionary mobile app that uses artificial intelligence to analyze your food in real-time and help you make better dietary choices.
Simply snap a photo of your meal, and our AI instantly identifies high-purine foods that could trigger gout attacks. Get personalized recommendations, track your diet history, and prevent flare-ups before they happen.
Key Features:
- 📸 Instant Food Analysis - Take a photo and get immediate purine content information
- 🍽️ Dietary Tracking - Monitor your daily purine intake effortlessly
- 💡 Smart Recommendations - Receive AI-powered suggestions for gout-friendly alternatives
- 📊 Health Insights - Track patterns and identify your personal triggers
There are a few mobile apps for health, diet and manage gout. However, a several thousand of users has concluded that GoutSnap AI is successfully managing their gout with the power of AI.
